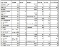
GalyLeo Моя тема в СВ Имя: Галина Опубликовано: 21 мая 2018 Автор Рассказать Опубликовано: 21 мая 2018 Ну и наши таблички. С баллами и с рейтингом Как видим, продолжает лидировать Оксана (Ksuxa), у неё 125 баллов!!! С 6-ой на 2-ю позицию взлетела Лиля (lili-tolk)!!! А замыкают тройку лидеров Лена (fima) и Алессандра (Ale81), у них одинаковое количество баллов! @}->--@}->--@}->--*THUMBS UP* P.S. Про подарки помню, пока не успеваю раздать, но раздам обязательно в ближайшее время!!! СП "Цветы" СП "Luca-S" Процессы Ссылка на комментарий Поделиться на других сайтах More sharing options...
loraif Моя тема в СВ Имя: Лариса Опубликовано: 21 мая 2018 Рассказать Опубликовано: 21 мая 2018 Галочка, побалуй себя, пожалуйста, клубничкой за 10 монет, а участников игры конфетками и вишнями за 2 монетки (последние в ряду). Спасибо всем за хорошую компанию. Я здесь Никогда не говори :"Я хочу!", а говори:"Я желаю!", потому что исполняются только желания. Ссылка на комментарий Поделиться на других сайтах More sharing options...
GalyLeo Моя тема в СВ Имя: Галина Опубликовано: 21 мая 2018 Автор Рассказать Опубликовано: 21 мая 2018 Галочка, побалуй себя, пожалуйста, клубничкой за 10 монет, а участников игры конфетками и вишнями за 2 монетки (последние в ряду). Спасибо всем за хорошую компанию. Ларочка, спасибо большое!!! Клубничку я люблю :-D:-D Конфетки завтра постараюсь раздать @}->-- СП "Цветы" СП "Luca-S" Процессы Ссылка на комментарий Поделиться на других сайтах More sharing options...
Тома Имя: Тамара Опубликовано: 21 мая 2018 Рассказать Опубликовано: 21 мая 2018 Было Стало Ссылка на комментарий Поделиться на других сайтах More sharing options...
GalyLeo Моя тема в СВ Имя: Галина Опубликовано: 22 мая 2018 Автор Рассказать Опубликовано: 22 мая 2018 Девочки! Подарочки раздала. @}->-- Светлана (Miledi092), подарила от твоего имени всем по букетику сирени. Она сейчас как раз цветёт, по крайней мере у нас в Питере Надеюсь, ты не против СП "Цветы" СП "Luca-S" Процессы Ссылка на комментарий Поделиться на других сайтах More sharing options...
Ksuxa Имя: Оксана Опубликовано: 22 мая 2018 Рассказать Опубликовано: 22 мая 2018 Галочка, я тоже хочу раздать всем подарочки, давай всем по вкусняшке на которую монеток хватит Ссылка на комментарий Поделиться на других сайтах More sharing options...
Радуга-дуга Моя тема в СВ Имя: Инна Опубликовано: 23 мая 2018 Рассказать Опубликовано: 23 мая 2018 Девочки, спасибо за подарочки Сирень действительно цветет) и пахнет... травка зеленеет, бабочки порхают, и шоколад с вишенкой очень вкусный мотиватор) У меня появилась копеечка, таки надо истратить))) Галина, можно мне завернуть за 3 монеты из 7 ряда первая картинка для Юли Pirania. Оказалось, что Юля не только вышивает осенний пейзаж с мельницей, так и пирожные делает, и зефир, ням-ням... Еще такую же вкусняшку Леночке Ведька-Редька (помните её жгучие маки и деревеньку?) и Елене Vaselisa-E - за её деревья с розовой кроной и мостик, что соединяет серца и народы Насте zlatowlaska обязательно надо что-то веселенькое... за 5 монет 1 ряд вторая картинка. У неё такой дизайн а в т о р с к и й , что я никак не могу запомнить, что делает у неё медведь - не догадаетесь - играет на гитаре! а говорят еще, что Медведь на Ухо наступил Этот настоящий автор-исполнитель) Пока всё. Опять деньги закончились)... пошла зарабатывать Не сладок плод бездельного досуга. Ссылка на комментарий Поделиться на других сайтах More sharing options...
zlatowlaska Моя тема в СВ Имя: Анастасія Опубликовано: 24 мая 2018 Рассказать Опубликовано: 24 мая 2018 Инночка)) спасибо за твоё внимание, поддержку и подарочек девочки, я не справилась на этой неделе, буду дошивать нормц Моя тема Instagram Ютуб канал Ссылка на комментарий Поделиться на других сайтах More sharing options...
fima Имя: Елена Опубликовано: 24 мая 2018 Рассказать Опубликовано: 24 мая 2018 Всем привет!@}->-- Отчитаюсь сегодня, все равно последние дни недели вышивать не получится. На этой неделе Эсте Было Стало 889 крестиков (1778 п/п) Ссылка на комментарий Поделиться на других сайтах More sharing options...
Tiana Моя тема в СВ Имя: Татьяна Опубликовано: 25 мая 2018 Рассказать Опубликовано: 25 мая 2018 Девочки, извините, но никак не получается поиграть с вами(( Лето, работы в огороде завались. Да еще и открытие магазина на носу. Вообще не продохнуть. На рукоделие ни сил, ни времени не остается(( Но в следующий раз убьюсь, но сыграю Ссылка на комментарий Поделиться на других сайтах More sharing options...
zlatowlaska Моя тема в СВ Имя: Анастасія Опубликовано: 25 мая 2018 Рассказать Опубликовано: 25 мая 2018 Девочки, извините, но никак не получается поиграть с вами(( Лето, работы в огороде завались. Да еще и открытие магазина на носу. Вообще не продохнуть. На рукоделие ни сил, ни времени не остается(( Но в следующий раз убьюсь, но сыграю Поздравляю с открытием магазина) какой магазин открываете, если не секрет?) @}->-- Моя тема Instagram Ютуб канал Ссылка на комментарий Поделиться на других сайтах More sharing options...
Ведька-Редька Моя тема в СВ Имя: Елена Опубликовано: 25 мая 2018 Рассказать Опубликовано: 25 мая 2018 А что это за приборчик такой?) это счетчик рядов для вязания :-D Приспособила для стежков))) а то га этих вышивках тяжело считать... раньше хоть по схеме считала, а эти на глаз ко мне на "ты" Ссылка на комментарий Поделиться на других сайтах More sharing options...
Ведька-Редька Моя тема в СВ Имя: Елена Опубликовано: 25 мая 2018 Рассказать Опубликовано: 25 мая 2018 кубики 465 маки 637 было стало деревенька 559 было ко мне на "ты" Ссылка на комментарий Поделиться на других сайтах More sharing options...
Ведька-Редька Моя тема в СВ Имя: Елена Опубликовано: 25 мая 2018 Рассказать Опубликовано: 25 мая 2018 Чего-то навалилось все сразу и к вышивке стало реже подходить... На деревеньку даже смотреть не хочется... И решила я устроить праздник с подарками! Самый трепетный подарок Елене fima - за 3 монетки, букет роз (12ый) за то, что сделала на что я не решилась! Я на этого кота уже год облизываюсь и не знаю как подойти! А она смогла затеять такое великое дело! Буду ждать каждый отчет с моим любимчиком и трепетно на него взирать Юлечке Pirania за 1 монетку божью коровку (9ая), что бы спокойная красота осени брызнула весельем. Елене Vaselisa-E цветочки за 1 монетку (17ые) за то, что теперь я точно знаю какая красота лежит у меня в запасах и за что обязательно нужно взяться! Марине Foxie и Тамаре Тома за 2 монетки малинку (11ая) - выздоравливаете девочки! Нечего летом болеть! Пузики греть на солнышке нужно! Людмиле KLM фрукты за 1 монетку (13ые) за вкусный натюрморт! Постоянно слюной давлюсь, даже если только из-за стола вышла! Елене_2010 букет роз за 1 монетку ( 27ые) за велики труд с Богородицей! Радуге-Дуге эльфенка за 5 монеток за теплые слова ко всем и всегда! Галина и тебе вкусный тортик (перед эльфенком) за то, что собрала нас всех в кучу! ко мне на "ты" Ссылка на комментарий Поделиться на других сайтах More sharing options...
Рекомендованные сообщения
Создайте аккаунт или войдите в него для комментирования
Вы должны быть пользователем, чтобы оставить комментарий
Создать аккаунт
Зарегистрируйтесь для получения аккаунта. Это просто!
Зарегистрировать аккаунтВойти
Уже зарегистрированы? Войдите здесь.
Войти сейчас